Түгээх сүлжээний хэрэглэгч нэг бүртхүчдэлийн зөвшөөрөх алдагдлын хэмжээг нормчлох боломжгүйгээсхүчдэлийн хазайлт гэдэг томъёоллыг гаргаж, хэмжээг нь стандартаар нормчилсон байдаг.
Ачааллын өөрчлөлтөөс хамааран жил, сарын туршид гарах хүчдэлийн аажим өөрчлөлтийг хүчдэлийн хазайлт гэдэг. Түр зуурын, тухайлбал асинхрон цахилгаан хөдөлгүүрийг асаахад үүсдэг хүчдэлийн өөрчлөлтийг хүчдэлийн хэлбэлзэл гэдэг.
Хүчдэлийн хазайлтыг сүлжээний ачааллын тухайн горимд, сүлжээний тухайн цэг дэх хүчдэл, сүлжээний хэвийн хүчдэл хоёрын алгебрийн нийлбэрээр тодорхойлно. Хүчдэлийн хазайлтын хэмжээг хэвийн хүчдэлийн хувиар хэмждэг.Уртын дагуу ачаалал нь жигд тархсан, ижил огтлолтой цахилгааны шугам байна гэж бодъё.
Хүчдэл нь шугамын уртын дагуу шулуун шугамын хуулиар хувьсана гэе. Шугамын эхэн (А цэг )-д хүчдэл нь хэвийн хүчдэлийн хэмжээнээс ямар нэг хэмжээгээр их, шугамын төгсгөл(В цэг)-д хэвийнхээс бага байх нь ойлгомжтой( .....-р зураг).
Хүчдэлийн хазайлт шугамын эхэнд:
V
А = U
А – U
Х
шугамын төгсгөлд:
V
В = U
В – U
Х байна.
Энд U
Х – шугамын хэвийн хүчдэл:
1-р зураг
Хүчдэлийн хазайлтын цахилгаан төхөөрөмжүүдийн ажиллагаанд үзүүлэх нөлөө
Хүчдэлийн хазайлт нь цахилгаан хэрэгслийн ажиллагаанд янз бүрээр нөлөөлдөг. Хүчдэлийн хазайлтыг гэрэлтүүлгийн хэрэгсэл, ялангуяа
улайсах шил илүү мэдэрдэг.
Хүчдэлийн хазайлт ±1% байхад улайсах шилний чадал ±1.5%, гэрлийн урсгал ±3.5%, гэрлийн өгөөж ±1.8%, ажиллах хугацаа -+13%-иар тус тус өөрчлөгддөг. Хүчдэл ихсэх тусам гэрлийн урсгал, өгөөж нь өсдөг ч, ажиллах хугацаа нь эрс богиносдог. Жишээ нь, хүчдэл 105% байх юм бол ажиллах хугацаа нь 3 дахин богиносч, стандартаар 1000 цаг ажиллах байсан бол 350 цаг болж буурна. Хүчдэл 95% болоход гэрлийн урсгал 82.5% болж буурна.
Өдрийн гэрлийн шилний хувьд хүчдэлийн хазайлт ±1% байхад гэрлийн урсгал ±1%, гэрлийн өгөөж ±0.5%-иар өөрчлөгдөж байгааг улайсах шилтэй харьцуулахад өөрчлөлт нь бага боловч хүчдэл 94% болоход асахаа болино. Харин хүчдэл 106-107% болоход асаалттохируулгын аппаратур нь халж эхэлдэг.
Ахуйн халаах хэрэсэл (цахилгаан зуух, индүү зэрэг)-үүд хүчдэлийн хазайлтыг бага мэдэрдэг ч цахилгаан чадал нь хүчдэлийн квадраттай шууд пропорционал хамааралтайг бодолцох ёстой. Жишээ нь, хүчдэл 90% болоход 1000Вт чадалтай цахилгаан индүү 1000*0.9
2=810Вт чадал гаргах жишээтэй.
Асинхрон цахилгаан хөдөлгүүрийн эргүүлэх момент мөн л хүчдэлийн квадратттай шууд пропорционал байдаг. Жишээ нь, асинхрон цахилгаан хөдөлгүүрт ирэх хүчдэл 10%-иар буурахад момент нь 19%-иар буурдаг.Үүнээс болоод хүчдэл буурахад хэвийн ачаалалтай ажиллаж байсан хөдөлгүүр зогсох явдал ч гардаг.Мөн тусгаарлалт нь ажиллагаанаас түргэн гардаг.
Иймд ерөнхий зориулалтын цахилгаан хангамжийн систем дэх цахилгаан эрчим хүчний чанарын нормын тухай
Монгол Улсын стандарт MNS 1778:2006-аар цахилгаан хэрэглэгчдийн хавчаар дээрххүчдэлийн хэмжээ хэвийн хүчдэлээс таван хувиас ихсэхгүй, багасахгүй байхаар зохицуулсан байдаг.
Цахилгаан сүлжээний зураг төслийг зохиохдоо хазайлтыг MNS 1778:2006-ийн хэмжээнд барьж байхаар тооцох ёстой. Гэхдээ аль болох энэ хязгаарт байлгахыг хичээх шаардлагатай. Эс тэгвэл өнгөт металлын зарцуулалт ихэсдэг.
Шугам дахь хүчдэлийн алдагдал хүчдэлийн хазайлтын хэмжээтэй шууд холбоотой байдаг. 1-р зурагт үзүүлсэн шугамын хүчдэлийн хазайлт нь
V
А = U
А – U
Х
V
В = U
В – U
Х
байдгийг дээр өгүүлсэн. Нэгдүгээр тэгшитгэлээс хоёрдугаар тэгшитгэлийг хасвал:
V
А- V
В = U
А – U
В= ΔU
АВ болно.
Өөрөөр хэлбэл, шугам дахь хүчдэлийн алдагдал нь уг шугамын эхэн ба төгсгөл дэх хүчдэлийн хазайлтуудын ялгавартай тэнцүү байдаг. Дээр хэлсэнчлэн шугамын цахилгаан ачаалал тогтмол байдаггүй, тасралтгүй тэгэхдээ аажим хувьсаж байдаг. Шугам хамгийн их ачаалалтайгаар жилд тийм олон цаг ажилладаггүй. Шугам хамгийн бага ачаалалтай ажиллах цагийг судалж тогтоох шаардлагатай боловч бид цаашдын тооцоонд хамгийн бага ачаалал нь хамгийн их ачааллынхаа 25%-тай тэнцүү байна гэж ойролцоогоор авах болно. Өөрөөр хэлбэл,
S
min = 0.25 S
max
Иймд хүчдэлийн хазайлтын тооцоог 2 тохиолдлоор, тухайлбал, ачаалал S
max, S
min байхад хийнэ. Нэгдүгээр тохиолдолд шугам дахь хүчдэлийн алдагдал хамгийн их, хэрэглэгчдийн хүчдэл хамгийн бага байна. Энэ үед хүчдэлийн хазайлт 5%-иас бага байлгахаар тооцоог хийнэ. Өөрөөр хэлбэл,
V
100≥ -5% U
х байлгах ёстой.
Эсрэгээрээ 25% ачаалалтай байхад хүчдэлийн алдагдал ойролцоогоор 4 дахин бага, харин хүчдэлийн хэмжээ, ялангуяа эх үүсвэрт ойр орших хэрэглэгчид дээрх хүчдэл хэвийн хүчдэлээс их болж болно. Энэ үед хүчдэлийн хазайлтыг 7.5%-иас ихгүй байлгахаар тооцоог хийнэ. Өөрөөр хэлбэл,
V
25≤ +5% U
х байлгах ёстой.
Цахилгаан хангамжийн элементүүдийн хүчдэлийн хазайлтад үзүүлэх нөлөө
Тооцооны аргачлал болон цахилгаан хангамжид ордог элементүүд болох цахилгаан станцын генераторууд, трансформаторууд, цахилгаан дамжуулах шугам зэрэг нь хүчдэлийн хазайлтад янз бүрээр нөлөөлдөг. Тэдгээрийн тооцооны аргачлал нь шугам дахь хүчдэлийн алдагдал, хүчдэлийн хазайлтын хэмжээтэй шууд холбоотой байдаг.Үүнд генераторууд, тосон тохируулах горим, тэжээл авах дэд өртөөнүүдийн шийнэ, цахилгаан дамжуулах агаарын шугам, шугамын эсэргүүцлийг дурдаж болно. Үүнээс үзэхэд:
- Генераторууд:
Тогтмол хүчдэлийн горим: Ашиглалтын явцад генераторын шийнэ дээр ачааллаас хамаарахгүйгээр хүчдэлийг хэвийн хүчдэлээс гол төлөв тогтмол +5%-иар их байлгадаг. Өөрөөр хэлбэл,
V100 = V25= + 5% байна гэсэн үг.
Тосон тохируулах горим: Ачаалал өсөх тутам хүчдэлийг ихэсгэж байдаг. Гол төлөв хамгийн их ачааллын үед хүчдэлийн хазайлт хэвийн хүчдэлээс +10% их, хамгийн бага ачааллын үед хүчдэлийн хазайлт 0% байхаар тохируулдаг. Өөрөөр хэлбэл,
V100 =+10%,
V25= 0% байна гэсэн үг
.
- Тэжээл авах дэд өртөөнүүдийн шийнэ
Бидний амьдрал дээр цахилгаан түгээх сүлжээний тэжээлийг гол төлөв 35/10, 110/35-н дэд өртөөнүүдээс авдаг.Эдгээр дэд өртөөний шийнэ дээр хүчдэлийн тохируулгыг 0%-иас+5%-н хооронд хийх ёстой.Өөрөөр хэлбэл, эдгээр дэд өртөөний шийнэ дээр хүчдэлийн хазайлт
Vдө100=+5%,Vдө25=+0% байна гэсэн үг. Зураг төсөл зохиохын өмнө цахилгаан хангамжийн байгууллагаас эдгээр дэд өртөөний шийнэ дээрххүчдэлийн хазайлтын хэмжээг хоног, жилийн онцлог үеүдээр гаргуулж авах шаардлагатай болно.
3.Цахилгаан дамжуулах агаарын шугам (ЦДАШ)
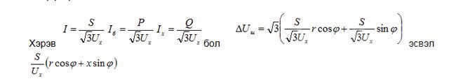
0.4-35 кВ-н төгсгөлдөө, тэгэхдээ фаз хооронд тэнцүү ачаалалтай ЦДАШ-д үүсэх фазын хүчдэлийн алдагдлыг

Харин шугамын хүчдэлийн алдагдлыг:

томъёогоор олно.
Энд I
б-гүйдлийн бодит хэсэг, I
х- гүйдлийн хуурмаг хэсэг, r-утасны бодит эсэргүүцэл, Ом, x-утасны хуурмаг буюу индукцлэлийн эсэргүүцэл, Ом, cos
![]()
-ачааллын чадлын коэффициент.

болно. Өөрөөр хэлбэл,
Хэрэв шугам хэд хэдэн ачаалал (2-р зураг)-тай бол хүчдэлийн алдагдлыг дор дурдсанаар олно.

2-р зураг.
Энд i-ачаалал бүрийн гүйдлүүд, I-шугаман гүйдлүүд, r,x-шугамын хэсгүүдийн эсэргүүцэл,
R, X- шугамын эхнээс ачааллууд хүртэлх эсэргүүцэл.
Шугамын эсэргүүцэл
-ЦДАШ-ын бодит эсэргүүцэл.
1000 м утсанд оногдох бодит эсэргүүцлийг R
0 =
![]()
гэж олно.
Энд R
0 – 1 км урт утасны эсэргүүцэл, Ом/км
![]()
=1000/
![]()
,
![]()
- утасны тооцоот хувийн дамжуулалт, м/ Ом*мм
2
S-утасны нэрлэсэн хөндлөн огтлол, мм
2
Зэс утасны
![]()
= 53 м/ Ом*мм
2,
![]()
=18,9 Ом*мм
2/км
Хөнгөн цагаан утасны
![]()
= 32 м/ Ом*мм
2,
![]()
=31,2 Ом*мм
2/км
Утасны бодит эсэргүүцэл R= R
0*L, Ом, L-утасны урт , км.
Ингэж олохоос гадна стандартын огтлол нэг бүрээр бодоод гаргасан бэлэн хүснэгт ашиглаж болно.ТАБЛ
ЦДАШ-ын хуурмаг буюу индукцлэлийн эсэргүүцэл Х0
Индукцлэлийн эсэргүүцлийг Х0=0.145lg
+0.015µ томъёогоор олдог.
Гэхдээ ө
нгөт металлаар хийсэн утастай 0.38-15 кВ-н хүчдэлтэй км урттай f=50 Гц давтамжтай хувьсах гүйдлийн ЦДАШ-н индукцлэлийн эсэргүүцлийг 0.35-0.4 Ом/км гэж авч болдог. Энд D av - утас хоорондын дундаж зай, мм, d-утасны диаметр, мм, µ-утасны материалын соронзон үл нэвтрүүлэлт.
Үүнийг ЦДАШ-н утас хоорондын зай тэнцүү байдаг тул индукцлэлийн эсэргүүцэл нь шугамын хөндлөн огтлолоос баг хамаардаг. Жишээ нь, хөнгөн цагаан утасны огтлолыг 16 кв.мм-аас 95 кв.мм хүртэл өсгөхөд бодит эсэргүүцэл 5.8 дахин буурдаг бол индукцлэлийн эсэргүүцэл зөвхөн 1.2 дахин буурдаг явдлаар тайлбарлаж болно.
Үндсэндээ 0.38-15 кВ-н шугамд индукцлэлийн эсэргүүцлийг ойролцоогоор
x0=0.4 Ом/км гэж авсаар ирсэн байдаг нь ийм учиртай юм.
Цахилгаан дамжуулах кабел (ЦДШК)-н хуурмаг эсэргүүцэл x0
-1 кВ хүртэл хүчдэлтэй 1 км урттай кабел шугамын хуурмаг эсэргүүцлийн хэмжээ
0.07 Ом/км
-6, 10 кВ хүчдэлтэй 1 км урттай кабел шугамын хуурмаг эсэргүүцлийн хэмжээ
0.08 Ом/км
-35 кВ хүчдэлтэй 1 км урттай кабел шугамын хуурмаг эсэргүүцлийн хэмжээ
0.12 Ом/км тус тус байдаг
5.Трансформаторууд
Трансформаторын ороомгуудаар гүйдэл гүйхэд түүнд үүсэх хүчдэлийн алдагдал
![]()
(1)
Энд
![]()
I
max –трансформаторын хамгийн их ажлын гүйдэл
Трансформаторын паспортад эсэргүүцлийг бичдэггүй. Харин паспортад трансформаторын богино залгааны хүчдэл U
бз%, хоосон явалтын гүйдэл I
хя%, хоосон явалтын алдагдал DР
хя, богино холбооны алдагдал DР
бз-н хэмжээг өгсөн байдаг. Эдгээрийн тусламжтайгаар трансформаторуудын ороомгуудын эсэргүүцлийг тодорхойлдог. Үүнд:
Трансформаторын богино залгааны хүчдэлийн идэвхт хэсэг
![]()
(2)
Энд I
х , U
х –трансформаторын хэвийн гүйдэл, хүчдэлийн хэмжээ
Одоо (2)-оос
![]()
(3)
Нөгөө талаасбогино залгааны хүчдэлийн идэвхт хэсэг
![]()
(4)
Өөрөөр хэлбэл, богино залгааны хүчдэлийн идэвхт хэсэг нь S
х-ээс хувиар авсан DР
бз-н хэмжээтэй тэнцүү байна.
Харин хуурмаг буюу индукцлэлийн эсэргүүцлийг (3)-тай адилаар олбол
![]()
(5)
нөгөө талаас богино залгааны хүчдэлийн хуурмаг хэсэг нь
![]()
Одоо r
t , x
t - н утгуудыг (1)-д орлуулан тавьбал
![]()
Эндээс U
х2/ S
х-г хаалтын гадна гаргавал
![]()
=
![]()
![]()
(
![]()
+
![]()
)
Трансформатор дахь хүчдэлийн алдагдлыг түүний хэвийн хүчдэлийн хэдэн хувь болж байгаагаар нь авбал
![]()
Энд S
max – хамгийн их ачаалал
Дээр дурдсан чанарын үзүүлэлтийг хангахын тулд сүлжээний хэсгүүдэд алдаж болох хүчдэлийн зөвшөөрөх алдагдал гэсэн ухагдахуун гарч байгаа юм. Түүнийг тодорхойлсны үндсэн дээр шугамын параметрийг сонгох нь чанарыг норм хэмжээнд барих нөхцөл бүрдэнэ.
Одоо манай нөхцөлд нэлээд тархмал тохиолддог 35/10 кВ-н дэд өртөөнөөс 10 кВ-н шугамаар болон 10-н шугамаас салбарлаж тэжээл авч байгаа жишээн дээр хүчдэлийн зөвшөөрөх алдагдал (
![]()
U
з)-ын хэмжээг бодож ольё. Энд гол нь тэжээл авч байгаа цэг дэх хүчдэлийн хазайлтын хэмжээг заавал мэдэж байх шаардлагатай. Зураг төслийг зохиохын өмнө цахилгаан хангамжийн байгууллагаас энэ хэмжээг албан ёсоор авсан байх ёстой. Хэрэглэгчдэд техникийн нөхцөл олгохдоо
“Цахилгаан эрчим хүч хэрэглэх дүрэм”-н 7.1-т заасны дагуу хэрэглэгчийг холбох сүлжээний цэгийн хүчдэлийн түвшинг зааж өгдөг болох ажлыг цаашид хэвшүүлэх шаардлагатай байна. Энэ нь хүчдэлийн хазайлт, улмаар хүчдэлийн зөвшөөрөх алдагдал (ΔU
зөв), шугамын хөндлөн огтлолыг зөв сонгож эрчим хүчний чанарын үзүүлэлтүүдийн стандартын шаардлагыг биелүүлэх, эрчим хүчний алдагдлыг багасгах боломжийг олгоно.
3-р зураг.
10 кВ-н шугам (3-р зураг)-ын холболтын цэг дээр хүчдэлийн хазайлт
V
дө100 = V
дө25= 0 %
Одоо хамгийн алс болон ойр орших mрансформаторын дэд өртөөнүүдийн хувьд хүчдэлийн хазайлтын хүснэгтийг бөглөе.
| |
10 кВ-н шийнээс тэжээх |
үед үүсэх хүчдэлийн |
хазайлт, % |
|
| Шугамын |
Хамгийн алсын |
дэд өртөөн дээр |
Хамгийн ойрын |
дэд өртөөн дээр |
| төхөөрөмжүүд |
|
Ачаалал, хувиар |
|
|
| |
100 |
25 |
100 |
25 |
| 10 кВ шийнэ |
0 |
0 |
0 |
0 |
| 10 кВ шугам |
-3 |
-0.75 |
|
|
| 10/0.38 кВ-н |
|
|
|
|
| трансформатор |
|
|
|
|
| -нэмэгдэл |
+5 |
+5 |
+2.5 |
+2.5 |
| -алдагдал |
-4 |
-1 |
-4 |
-1 |
| 0.38 кВ шугам |
-3 |
0 |
-3.5 |
0 |
| Хэрэглэгч |
-5 |
+2.25 |
-5 |
+1.5 |
Доогуур нь зурсан тоонууд нь мэдэгдэж байгаа тоонууд юм. Түүнээс гадна хэрэглэгчдийн трансформатор дээрх хүчдэлийн алдагдлын ачаалал 100% байхад -4 гэж ойролцоогоор авахад болно. Хүчдэлийн алдагдал ойролцоогоор ачаалалтайгаа шууд пропорцианал байдаг тул ачаалал 25% байхад хүчдэлийн алдагдал -1 гэж авч болно. Ерөнхийдөө трансформатор дахь хүчдэлийн алдагдлыг өмнө өгсөн арга, томъёогоор бодох нь зүйтэй гэдгийг анхааруулъя.
Хамгийн алсын трансформатор дээр трансформаторын хүчдэлийн нэмэлтийг
+5% гэж өгвөл 0.38 болон 10 кВ-н шугамуудад байж болох хүчдэлийн алдагдлын нийлбэр нь:
ΔU
b100 =
+ 5 – 4 - (-5) = 6%
10 болон 0.38 кВ-н сүлжээнүүдэд энэ хүчдэлийн алдагдлыг тэнцүүгээр ноогдуулъя. Номоороо бол үүнийг оновчлолын тооцоо хийж хуваах ёстой.
Хамгийн алсын дэд өртөөний трансформаторт ойр хэрэглэгч дээр үүсэх хүчдэлийн хазайлт
V
а25 = - 0.75
+ 5 – 1 = 2.25% < + 5%
Хамгийн ойрын трансформатор дээр +2. 5%-н нэмэгдлийг тавья. Тэгэхэд,
ΔU
d100 = +2.5– 4 - (-5) = 3.5%
V
c25 = + 2.5 - 1= + 1.5%< + 5%
Олсон хэмжигдэхүүнүүдийг 3-р зурагт үзүүлсэн схем дээр тэмдэглэснээр тооцоо дуусч байна. Энэ тооцооны үр дүнд энэ схем дээр үзүүлсэн 10 кВ-н сүлжээний ΔU
знь 3 %, 0.38 кВ-н шугамын ΔU
знь мөн 3% байх нь.
Зураг төсөл зохиож байгаа хүн тухайн төслийнхөө бодит ΔU-г олж түүнээ ΔU
зөв-тэй жишиж ΔU<ΔU
зө нөхцлийг хангасан эсэхийг шалгах ёстой. Ачааллаар сонгосон огтлолыг энэ нөхцөлөөр шалгаж огтлолыг сонгох шаардлагатай. ΔU
зөв-ийг нормчилдоггүй тул энэ аргачиллаар тооцоог заавал хийж байх шаардлагатай.
Энэ тооцооны үндсэн дээр трансформаторуудын анцапф ямар байхыг нэг адил тодорхойлж өгнө.
Техникийн ухааны PhD, Аж үйлдвэрийн гавъяат ажилтан,
Монгол Улсын зөвлөх инженер Д.Гягар