Компани
Мэдээ
Бүтээгдэхүүн
Шинэ орон сууц
Нийтлэлчид
Үнэ ханш
Үл хөдлөх хөрөнгө
Номын сан
Шинээр нэмэх
Нэвтрэх
Бүгд
Компани
Мэдээ
Бүтээгдэхүүн
Шинэ орон сууц
Ажлын байр
Үйл явдал
Компани
Мэдээ
Бүтээгдэхүүн
Шинэ орон сууц
Ажлын байр
Үйл явдал
Үл хөдлөх хөрөнгө
Номын сан
Бизнес үүсгэх
Бүртгүүлэх
Нэвтрэх
Нүүр
Мэдээ
Үнэ ханш
2015 оны 2 сарын байдлаар шинэ орон сууцны үнэ ханшийн дэлгэрэнгүй мэдээлэл
×
Алдаа мэдээлэх
Нүүр
Мэдээ
Нийтлэл
Хаус дизайн
Үнэ ханш
Тендер
Нийтлэлчид
Бусад
2015 оны 2 сарын байдлаар шинэ орон сууцны үнэ ханшийн дэлгэрэнгүй мэдээлэл
Oч
2019-11-05
Алдаа мэдээлэх
5564
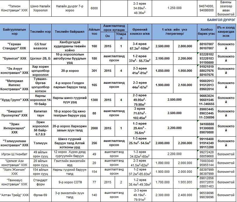
Барилга.мн сэтгүүлээс сар бүр гаргадаг шинэ орон сууцны үнэ ханшийн судалгааг хүлээн авна уу. 2015 оны 2 сарын байдлаар Улаанбаатар хотын Налайх, Сонгино-Хайрхан, Сүхбаатар, Баянгол, Баянзүрх, ХанУул, Чингэлтэй дүүргүүдэд
127
төслийн
44938
айлын орон сууц борлуулагдаж байна
. Эдгээр орон сууцны үнэ ханш бүсчлэлээрээ ялгаатай харагдаж байна. Жишээ нь: Хан-Уул дүүрэгт өндөр зэрэглэлийн орон сууцнууд ихэвчлэн худаалагдаж байгаа бол хамгийн их төсөл хэрэгжиж буй Сонгино-Хайрхан дүүрэгт харьцангуй орон сууцны үнэ ханш буурсан үзүүлэлттэй гарсан.
Доорх хүснэгтээс Улаанбаатар хотын хэмжээнд хэрэгжиж буй шинэ орон сууцны үнэ ханшийн дэлгэрэнгүй мэдээллийг хүлээн авна уу.
Холбоотой мэдээ
Ачааллаж байна ..